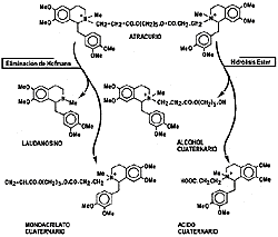
La bencilisoquinolina es un compuesto químico que constituye la columna vertebral estructural de muchos alcaloides de amplia variedad de estructuras, incluyendo la papaverina, la noscapina, la codeína, la morfina, la apomorfina, la berberina, la protopina, la tubocurarina y la sanguinarina.[2]
Biosíntesis
Las plantas productoras de alcaloides bencilisoquinolínicos tienen una ruta biosintética común, haciendo uso de dos unidades de L-tirosina. Una molécula de tirosina se metaboliza a dopamina, que constituye la parte isoquinolínica, mientras que la parte bencílica se forma principalmente de tiramina, la cual es el producto de la descarboxilación de la tirosina.
Muchas bencilisoquinolinas tienen un átomo de nitrógeno metilado, así como grupos funcionales que contienen oxígeno (-OH, -OCH3, -OCH2O-) en las posiciones 6, 7, 3 'y 4'. Estos últimos provienen de los precursores mencionados anteriormente, a saber, la tirosina, la dopamina y sus derivados.
Ejemplos de alcaloides bencilisoquinolinados
Referencias
- Benzylisoquinoline biosynthesis by cultivated plant cells and isolated enzymes
Enlaces externos




